7+ Sugar Intake Calculator
How To Calculate Your Daily Sugar Intake Livestrong

What Are Your Maintenance Calories Maintenance Calorie Calculator
Blood Sugar Conversion
How To Calculate Your Daily Sugar Intake Livestrong
Daily Intake Of Sugar How Much Sugar Should You Eat Per Day
Daily Sugar Intake Calculator Find Your Sugar Limit Per Day
Macro Calculator
Daily Sugar Intake Calculator Find Your Sugar Limit Per Day
What Are Your Maintenance Calories Maintenance Calorie Calculator
Sugar Calculator How Much Sugar Are You Drinking Shape Your Future
Sugar Calculator Sugarbyhalf
Nutrients Free Full Text Added Sugar Sugar Sweetened Beverages And Artificially Sweetened Beverages And Risk Of Cardiovascular Disease Findings From The Women Rsquo S Health Initiative And A Network Meta Analysis Of Prospective Studies
Nutrients Free Full Text Added Sugar Sugar Sweetened Beverages And Artificially Sweetened Beverages And Risk Of Cardiovascular Disease Findings From The Women Rsquo S Health Initiative And A Network Meta Analysis Of Prospective Studies
Adults Mean Daily Sucrose Intake G And Per Cent Total Energy E Download Table
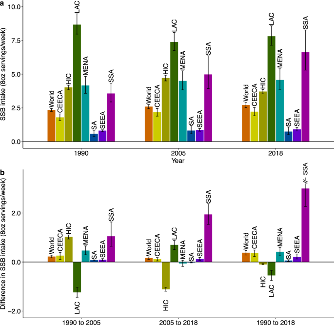
Sugar Sweetened Beverage Intakes Among Adults Between 1990 And 2018 In 185 Countries Nature Communications
How To Track Sugar Intake An Easy Step By Step Guide Hydration Monitoring Intake Health Blog
How To Track Sugar Intake An Easy Step By Step Guide Hydration Monitoring Intake Health Blog
When Is Crossfit Really Pays Off I M 49yo 180cm 83kg On A Mediterranean 1800cal Diet Train On 1 2h Sessions 3 4 Per Week With An Average 140bpm After 3 Months Lost 2kg But My